Характеристики
Подача, м3/ч
—
7.2
Напор, м
—
4.2
По запросу
Нашли дешевле?
Под заказ
Наши менеджеры обязательно свяжутся с вами и уточнят условия заказа
Описание
Циркуляционный насос для бытовых систем горячего водоснабжения с закрытым контуром и повышением давления или открытым контуром.
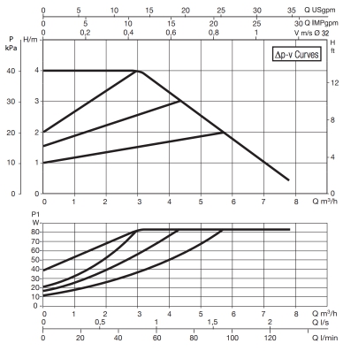
Справа от картинки даны крайние точки (подача при нулевом напоре, напор при нулевой подаче).
Подробные характеристики приведены в таблице:


Технические характеристики
| Модель |
Межосевое расстояние, мм |
Присоединение | Питание, В | P1 макс., Вт | In, А | Мин. давление на всасе | ||
| t° | 90° | 100° | ||||||
| EVOPLUS B 40/220.32 SAN M | 220 |
DN 32 PN 6 |
220/240 | 85 | 0,55 | м.вод.ст | 20 | 25 |
Справа от картинки даны крайние точки (подача при нулевом напоре, напор при нулевой подаче).
Подробные характеристики приведены в таблице:
| Подача, м3/ч | 0,0 | 2,4 | 3,0 | 4,2 | 5,4 | 7,2 | 9,6 |
| Напор, м | 4,2 | 4,2 | 4,2 | 3,3 | 2,5 | 1,3 |

Габаритные размеры

| Модель | L | L1 | L2 | A | A2 | B | B1 | B2 | D | D1 | D2 | D3 | D4 | H | H1 | H2 | Вес, кг |
|
EVOPLUS B 40/220.32 SAN M |
220 | 110 | 110 | 19 | 14 | 256 | 67 | 189 | 40 | 90 | 100 | 140 | 76 | 165 | 124 | 204 | 8,6 |
